Интеграл квадрата

Интеграл квадрата. Первообразная частного. Интеграл квадрата. Квадратный трехчлен. Интеграл от квадратного трехчлена.
Интеграл квадрата. Первообразная частного. Интеграл квадрата. Квадратный трехчлен. Интеграл от квадратного трехчлена.
Интегрирование квадратного трехчлена. Интеграл квадрата. Интегрирование функций содержащих квадратный трехчлен. Интеграл квадратного трехчлена. Интеграл квадратного уравнения.
Интегрирование квадратного трехчлена. Интеграл квадрата. Интегрирование функций содержащих квадратный трехчлен. Интеграл квадратного трехчлена. Интеграл квадратного уравнения.
Интеграл синуса. Интегрирование элементарных дробей. Интеграл джоуля. Таблица интегралов косинус 2х. Интегрирование выражений содержащих квадратный трехчлен.
Интеграл синуса. Интегрирование элементарных дробей. Интеграл джоуля. Таблица интегралов косинус 2х. Интегрирование выражений содержащих квадратный трехчлен.
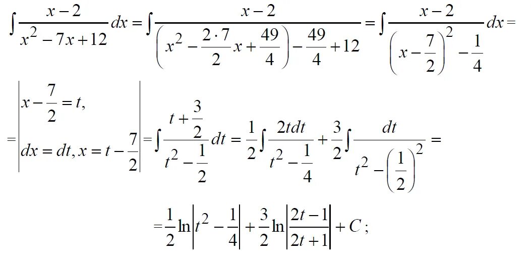
Метод выделения полного квадрата интегралы. Интегрирование секанса. Интегрирование квадратного трехчлена. Интегрирование трехчлена. Интеграл квадрата.
Метод выделения полного квадрата интегралы. Интегрирование секанса. Интегрирование квадратного трехчлена. Интегрирование трехчлена. Интеграл квадрата.
Интегрирование методом выделения полного квадрата. Интеграл квадрата. Интеграл квадрата. Интеграл 12. Интегралы с полным квадратом.
Интегрирование методом выделения полного квадрата. Интеграл квадрата. Интеграл квадрата. Интеграл 12. Интегралы с полным квадратом.
Интегрирование по частям. Первообразная тангенса. Интеграл простейших рациональных дробей 4 типа. Неопределенный интеграл метод замены примеры. Интегралы от функций содержащих квадратный трехчлен.
Интегрирование по частям. Первообразная тангенса. Интеграл простейших рациональных дробей 4 типа. Неопределенный интеграл метод замены примеры. Интегралы от функций содержащих квадратный трехчлен.
Sec интеграл. Метод выделения полного квадрата интегралы. Интеграл квадрата. Интеграл квадрата. Интеграл от косинуса.
Sec интеграл. Метод выделения полного квадрата интегралы. Интеграл квадрата. Интеграл квадрата. Интеграл от косинуса.
Интеграл от синуса и косинуса. Интеграл квадрата. Интеграл от рациональной функции. Выделение полного квадрата интегралы. Интегрирование выделением полного квадрата примеры.
Интеграл от синуса и косинуса. Интеграл квадрата. Интеграл от рациональной функции. Выделение полного квадрата интегралы. Интегрирование выделением полного квадрата примеры.
Интегрирование выражений содержащих квадратный трехчлен. Интеграл частного. Интегралы от функций содержащих квадратный трехчлен. Интегрирование квадратного трехчлена. Интегрирование методом выделения полного квадрата.
Интегрирование выражений содержащих квадратный трехчлен. Интеграл частного. Интегралы от функций содержащих квадратный трехчлен. Интегрирование квадратного трехчлена. Интегрирование методом выделения полного квадрата.
Интегралы с квадратным трехчленом в знаменателе. Интеграл квадрата. Интегрирование выражений содержащих квадратный трехчлен. Таблица интегралов от тригонометрических функций. Sec x интеграл.
Интегралы с квадратным трехчленом в знаменателе. Интеграл квадрата. Интегрирование выражений содержащих квадратный трехчлен. Таблица интегралов от тригонометрических функций. Sec x интеграл.
Методы интегрирования выражений с квадратным трехчленом. Квадрат интеграла и интеграл квадрата. Таблица неопределённых интегралов для студентов. Таблица основных определенных интегралов. Интеграл напряженности по площади.
Методы интегрирования выражений с квадратным трехчленом. Квадрат интеграла и интеграл квадрата. Таблица неопределённых интегралов для студентов. Таблица основных определенных интегралов. Интеграл напряженности по площади.
Интеграл от синуса в минус первой степени. Интегрирование содержащие квадратный трехчлен. Интеграл квадрата. Интегрирование квадрата трехчлена. Интегрирование заменой переменной.
Интеграл от синуса в минус первой степени. Интегрирование содержащие квадратный трехчлен. Интеграл квадрата. Интегрирование квадрата трехчлена. Интегрирование заменой переменной.
Виды интегралов. Интегрирование функций содержащих квадратный трехчлен формула. Вычислить интеграл методом. Квадратный интеграл. Интегрирование методом замены переменной.
Виды интегралов. Интегрирование функций содержащих квадратный трехчлен формула. Вычислить интеграл методом. Квадратный интеграл. Интегрирование методом замены переменной.
Интеграл тангенса. Интегрирование функций содержащих квадратный трехчлен. Интегрирование простейших дробей 1 2 3 типа. Таблица первообразных и неопределенных интегралов. Неопределенные интегралы.
Интеграл тангенса. Интегрирование функций содержащих квадратный трехчлен. Интегрирование простейших дробей 1 2 3 типа. Таблица первообразных и неопределенных интегралов. Неопределенные интегралы.
Возведение интеграла в квадрат. Интеграл квадрата. Интегрирование выделением полного квадрата. Интегрируемость функции двух переменных. Примеры интегралов с заменой с решением.
Возведение интеграла в квадрат. Интеграл квадрата. Интегрирование выделением полного квадрата. Интегрируемость функции двух переменных. Примеры интегралов с заменой с решением.
Интеграл квадрата. Интеграл квадрата. Интегрирование функций содержащих квадратный трехчлен. Интеграл квадрата. Интеграл tan.
Интеграл квадрата. Интеграл квадрата. Интегрирование функций содержащих квадратный трехчлен. Интеграл квадрата. Интеграл tan.
Интегралы от функций содержащих квадратный трехчлен. Интеграл квадрата. Интеграл квадрата. Табличные интегралы формулы. Первообразная синуса.
Интегралы от функций содержащих квадратный трехчлен. Интеграл квадрата. Интеграл квадрата. Табличные интегралы формулы. Первообразная синуса.
Интеграл квадрата. Интеграл квадрата. Интегрирование квадрата. Интеграл от синуса. Выделение полного квадрата интегралы.
Интеграл квадрата. Интеграл квадрата. Интегрирование квадрата. Интеграл от синуса. Выделение полного квадрата интегралы.
Интегрирование функций содержащих квадратный трехчлен. Интегрирование квадратного трехчлена. Интегрирование выделением полного квадрата. Интегрирование функций содержащих квадратный трехчлен. Формула неопределенный интеграл синуса.
Интегрирование функций содержащих квадратный трехчлен. Интегрирование квадратного трехчлена. Интегрирование выделением полного квадрата. Интегрирование функций содержащих квадратный трехчлен. Формула неопределенный интеграл синуса.
Интеграл квадрата. Неопределенный интеграл уравнения с корнями примеры. Интегрирование простейших дробей 4 типа. Табличные интегралы формулы. Интеграл частного.
Интеграл квадрата. Неопределенный интеграл уравнения с корнями примеры. Интегрирование простейших дробей 4 типа. Табличные интегралы формулы. Интеграл частного.